Milion złotych więcej na paliwo. Szef spółki komunikacyjnej uderza w Orlen

Konferencja prezesa MPK Wrocław
Prezes MPK Wrocław krytycznie o praktykach PKN Orlen
Źródło: TVN24 Wrocław
Prawie milion złotych więcej tylko w grudniu wydało wrocławskie Miejskie Przedsiębiorstwo Komunikacyjne na paliwo tankowane do autobusów. Prezes spółki Krzysztof Balawejder drastycznymi wzrostami cen obarcza PKN Orlen i nie gryzie się w język, nazywając metody działania koncernu "złodziejskim monopolem". - Wystąpiliśmy do Urzędu Ochrony Konkurencji i Konsumentów o pilne zbadanie praktyk monopolistycznych Orlenu - mówi Balawejder.

Od 1 stycznia 2023 roku stawki VAT na paliwa silnikowe wzrosły z 8 do 23 proc. Wynika to ze zmian w tak zwanej tarczy antyinflacyjnej, która od tego roku funkcjonuje w okrojonym kształcie. W górę poszła też opłata paliwowa, o około 14 groszy na litrze benzyny i o 10 groszy na litrze diesla.

Jednocześnie w sobotę gwałtownie spadły hurtowe ceny paliw w PKN Orlen. Orlen ma dominującą pozycję. Ceny benzyny 95 i oleju napędowego poszły w dół o około 12 proc., do najniższych poziomów od przełomu lutego i marca 2022 roku. W niedzielę doszło do kolejnej obniżki.

Prezes MPK o praktykach Orlenu: "złodziejski monopol"

O sytuację na rynku paliw dopytują i komentują jej dynamikę ekonomiści, politycy, ale też samorządowcy lub osoby zarządzające spółkami podlegającymi samorządom. Tak jak na przykład prezes MPK Wrocław Krzysztof Balawejder, który w poniedziałek w mediach społecznościowych nazwał sposób działania PKN Orlen "złodziejskim monopolem".

- To cena, jaką wszyscy płacimy za monopol Orlenu kierowanego przez Obajtka, a nadzorowanego przez Sasina i Morawieckiego. Pieniądze te powiększają i tak rekordowe zyski Orlenu. To nie jest wolny rynek, to jest okradanie nas przez partię władzy - komentuje Balawejder.

Zgodnie z wyliczeniami spółki w związku z polityką prowadzoną przez koncern, tylko w samym grudniu MPK Wrocław zapłaciło prawie milion złotych więcej za olej napędowy, niż wynosiłaby ta cena na podstawie warunków umowy z poprzednim dostawcą. W czerwcu 2022 roku dotychczasowy dostawca paliwa - firma Lotos - poinformował MPK, że nie będzie przedłużał kończącej się 30 listopada umowy.

- Przewoźnik musiał ogłosić wówczas nowy przetarg. W pierwszym nie wpłynęły jednak żadne oferty. Orlen nie przystąpił do pierwszego przetargu, tłumacząc to tym, że MPK Wrocław chciało kalkulować cenę paliwa na podstawie zagranicznych notowań giełdowych Platt’s. Tymczasem Orlen Paliwa rozlicza wszystkie swoje kontrakty według notowań SPOT - hurtowej ceny PKN Orlen. W drugim przetargu MPK podjęło decyzję, że będzie rozliczać dostawy w oparciu o ceny hurtowe Orlenu, ale oczekując stałego rabatu - tłumaczy Aleksandra Hutyra, rzeczniczka MPK Wrocław.

Konferencja prezesa MPK Wrocław
Konferencja prezesa MPK Wrocław
Źródło: MPK Wrocław

Ceny ustalane w gabinetach

We wtorek przed zajezdnią autobusową przy ulicy Obornickiej prezes Balawejder zwołał konferencję prasową, na której przedstawiał szczegóły podawanych wcześniej obliczeń.

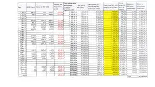
- Mamy urzędową cenę, narzucaną przez PKN Orlen. Mówiliśmy już kilka miesięcy temu, że jest to ryzyko. Że być może te ceny będą ustalane w gabinetach. Gabinetach prezesa Obajtka, czy też gabinetach przy ulicy Nowogrodzkiej. Dziś mamy już pewność, że tak było. Przeanalizowaliśmy dokładnie każdą naszą transakcję, każdą naszą dostawę paliwa. I dzisiaj już wiemy, że w stosunku do dotychczasowych zasad - obiektywnych i neutralnych politycznie i tożsamych dla całego rynku europejskiego - dopłaciliśmy 967 tysięcy złotych. Tyle zapłacili mieszkańcy Wrocławia - mówił, prezentując poniższą tabelę.

Tabela prezentowana przez prezesa MPK na konferencji prasowej
Tabela prezentowana przez prezesa MPK na konferencji prasowej
Źródło: MPK Wrocław

Prezes Balawejder przekazał, że MPK Wrocław wystąpiło do Urzędu Ochrony Konkurencji i Konsumentów "o pilne zbadanie praktyk monopolistycznych Orlenu".

Zapotrzebowanie MPK Wrocław na olej napędowy do autobusów to średnio od 800 tys. do niemal 1 mln litrów miesięcznie. W 2020 roku przewoźnik płacił za paliwo ponad 34 mln zł rocznie, w 2021 r. było to 45 mln, a w roku 2022 aż 68,5 mln zł - podaje przewoźnik.

Samorządy w podobnym tonie

Konferencje w podobnym tonie zorganizowano tego dnia również w innych polskich miastach. Samorządowcy zrzeszeni w Ruchu Samorządowym TAK! Dla Polski mówili o grabieży mieszkańców przez Orlen.

Prezydent Białegostoku Tadeusz Truskolaski wraz ze swoim zastępcą oraz prezesem miejskiej spółki komunikacyjnej mówili we wtorek, że przez zawyżone ceny paliwa przez koncern miasto straciło ponad 5 milionów złotych. Stwierdzili, że Orlen powinien zwrócić te pieniądze. Tamtejszy samorząd również zwrócił się do UOKiK w sprawie praktyk zawyżania cen.

- Porównanie dwóch liczb. Za trzy kwartały roku 2021 Orlen miał nieco ponad dwa miliardy zysku. Za trzy kwartały roku 2022 ponad 12 miliardów zysku. Czyli 10 miliardów zysku ponadwymiarowego, to znaczy, że zostały wydrenowane kieszenie każdego z nas, ale w tym również, co nas bardzo boli, spółek komunikacyjnych - mówił Truskolaski.

igor 1
Prezydent Białegostoku o działaniach Orlenu
Źródło: TVN24 Białystok

Z kolei prezydent Sosnowca Arkadiusz Chęciński nieco ironicznie przyznał, że powinniśmy się cieszyć, bo przecież ceny nie poszły w górę. - Każda podwyżka podatku powoduje wzrost. Tym razem stał się cud. Byliśmy robieni w Obajtka - powiedział.

Włodarz Sosnowca przyniósł na konferencję wykresy pokazujące ceny ropy naftowej w dolarach i opowiadał, jak mogły one wpłynąć na cenę paliwa w Polsce.

igor 2
Prezydent Sosnowca o działaniach PKN Orlen
Źródło: TVN24 Katowice
TVN24 HD
Dowiedz się więcej:

TVN24 HD

Czytaj także: