RRSO – co to jest? Dlaczego biorąc kredyt czy kupując na raty, warto znać ten wskaźnik?

pieniadze shutterstock_572920144
Jak zmieniają się raty kredytów hipotecznych po podwyżkach stóp procentowych?
Źródło: TVN24
Biorąc kredyt na mieszkanie, decydując się na zakup ratalny czy tzw. chwilówkę, zawsze należy zwrócić uwagę na wskaźnik RRSO. W nim ukrywają się całkowite koszty kredytu, m.in. odsetki, dodatkowe opłaty i prowizje. Znajomość tego wskaźnika pozwala też porównać oferty różnych banków. A przede wszystkim to informacja, jakie koszty rzeczywiście będziemy ponosić każdego roku, zaciągając finansowe zobowiązanie.

Aby wiedzieć, czy dana oferta kredytowa jest korzystna, i porównać ją z innymi ofertami, należy poznać RRSO.RRSO to całkowity koszt kredytu ponoszony przez konsumenta, wyrażony jako wartość procentowa całkowitej kwoty kredytu w stosunku rocznym.W tym wskaźniku zawarte są więc takie dodatkowe koszty, jak odsetki, opłaty, prowizje, podatki, marże czy ubezpieczenia.

RRSO – co to jest?

Z tym terminem każdy miał kiedyś styczność. Pojawia się choćby w kontekście reklam zakupów na raty czy tzw. chwilówek. Co oznacza? RRSO to nic innego, jak skrót od wyrażenia Rzeczywista Roczna Stopa Oprocentowania. Ustawą z 12 maja 2011 r. o kredycie konsumenckim, mianem RRSO nazwano „całkowity koszt kredytu ponoszony przez konsumenta, wyrażony jako wartość procentowa całkowitej kwoty kredytu w stosunku rocznym”. W tym wskaźniku zawarte są więc takie dodatkowe koszty, jak odsetki, opłaty, prowizje, podatki, marże czy ubezpieczenia. Znając RRSO, można zatem porównać oferty kredytów różnych banków i wybrać tę najkorzystniejszą.

Aby poprawnie porównywać oferty banków za pomocą wskaźnika RRSO, należy być bardzo ostrożnym podczas wybierania rodzaju kredytu, czasu i warunków spłaty. Muszą być one identyczne dla obu ofert, w przeciwnym razie kalkulacja nie będzie poprawna i wprowadzi nas w błąd.

Okres spłaty zobowiązania ma znaczny wpływ na wysokość współczynnika RRSO. Wszystko to dlatego, że wskaźnik ukazuje realne koszty kredytu w okresie jednego roku. Dlatego im krótszy będzie termin spłaty kredytu, tym wskaźnik RRSO będzie wyższy.

RRSO a rata malejąca 

Istotna w kalkulacji wskaźnika RRSO będzie również częstotliwość wpłaty kolejnych rat, a także ich rodzaj. Pomimo iż raty malejące mogą wydawać się ciekawą i kuszącą opcją, to należy wziąć pod uwagę, że przy podwyżce stóp procentowych bieżąca rata może znacznie wzrosnąć – wzrost kosztów miesięcznej obsługi kredytu może sprawić, że aby sprostać nowej wysokości raty, będziemy musieli sięgnąć po dodatkowe środki. Rata malejąca będzie najkorzystniejsza przy stabilnej sytuacji finansowej.

Jak obliczyć RRSO?

Zazwyczaj nie trzeba samodzielnie obliczyć RRSO. Wszystkie informacje na jego temat są ujęte w ofercie banku lub instytucji pożyczkowej, a znaleźć można je również w przygotowanych materiałach promocyjnych i marketingowych.  Gdyby jednak ktoś chciał je policzyć samodzielnie lub zweryfikować informacje o RRSO, które otrzymuje od instytucji finansowej, to wspomniana Ustawa o kredycie konsumenckim zawiera informację, według jakiego wzoru powinno się obliczać wartość RRSO. Wzór jest ogólnodostępny, ale bardzo skomplikowany. Służy głównie bankom i pośrednikom, którzy objęci są obowiązkiem podawania wskaźnika RRSO przy prezentacji oferty przeznaczonej dla konsumentów.

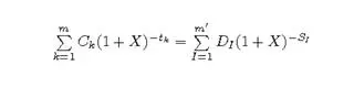
Rzeczywistą roczną stopę oprocentowania (RRSO) kredytodawca lub pośrednik kredytowy oblicza zgodnie z następującym wzorem matematycznym:

Wzór na RRSO
Wzór na RRSO

Poszczególne litery i symbole użyte we wzorze oznaczają:

X - rzeczywistą roczną stopę oprocentowania; m - numer kolejny ostatniej wypłaty raty kredytu; k - numer kolejny wypłaty, zatem 1 ≤k ≤ m; Ck - kwotę wypłaty k; tk - okres, wyrażony w latach lub ułamkach lat, między dniem pierwszej wypłaty a dniem każdej kolejnej wypłaty, zatem t1 = 0; m' - numer kolejny ostatniej spłaty lub wnoszonych opłat; l - numer kolejny spłaty lub wnoszonych opłat; D1 - kwotę spłaty lub wnoszonych opłat; S1 - okres, wyrażony w latach lub ułamkach lat, między dniem pierwszej wypłaty a dniem każdej spłaty lub wniesienia opłat.

RRSO 0% – co to znaczy?

We wspomnianych reklamach pożyczek często przewija się sformułowanie „RRSO 0%”. Brzmi to trochę jak piękny sen, oznacza to przecież całkowity brak kosztów związanych z zobowiązaniem. Warto zawsze przy takiej ofercie dopytać o rzeczywiste koszty i warunki kredytu czy zakupu na raty. Tego typu oferta adresowana jest zwykle do osób po raz pierwszy korzystających z usług firmy, a warunkiem utrzymania zerowej rzeczywistej rocznej stopy oprocentowania jest terminowa spłata rat. W przypadku opóźniania kolejnych wpłat mogą nas spotkać konsekwencje finansowe.

Zobacz także: